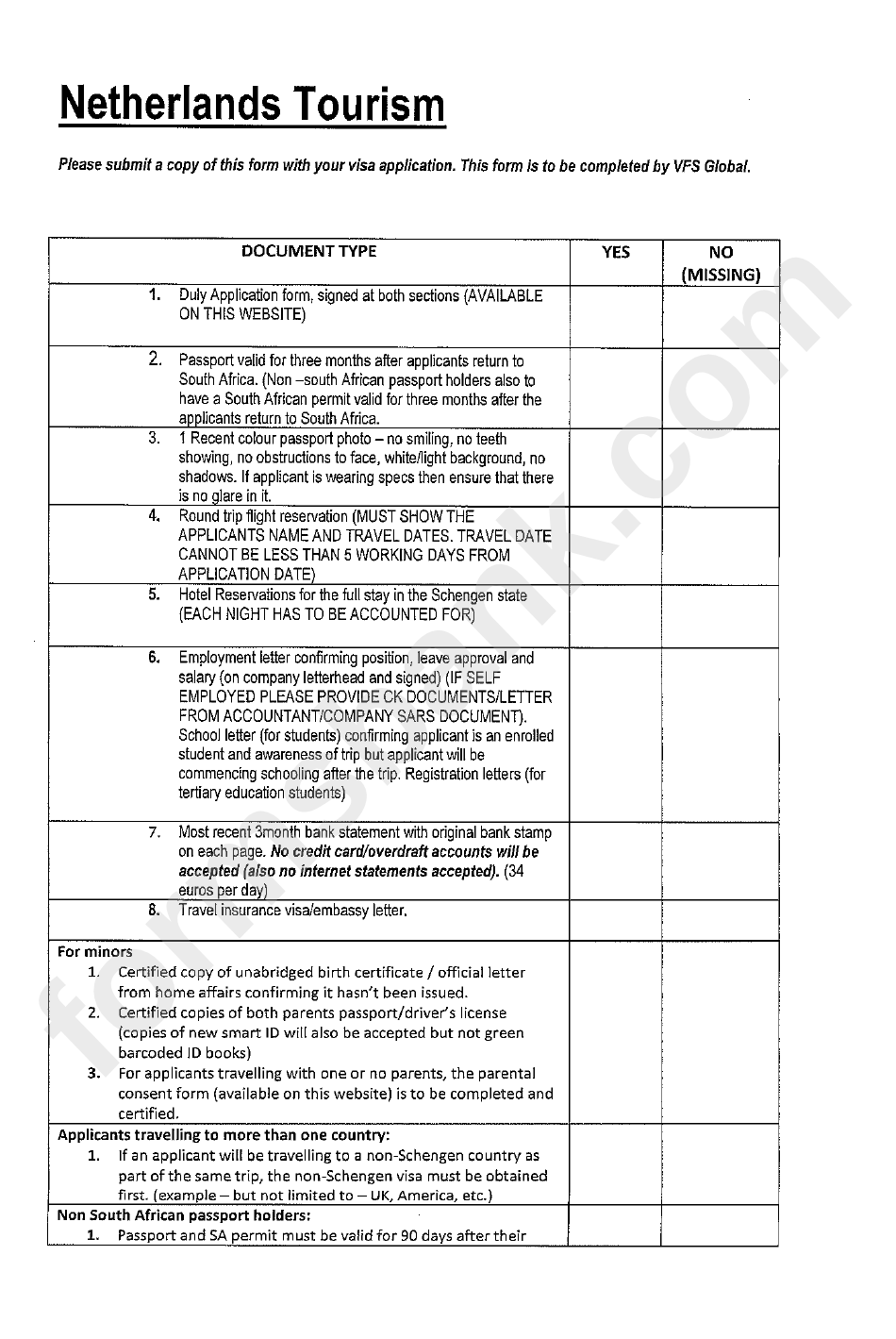
Netherland Visit Visa Application Form
Netherland Visit Visa Application Form - If you wish to apply for a netherlands visa, you can download the visa application form here. Harmonised application form application for schengen visa this application form is free 1. Complete the online schengen visa application form, print it out and take it to your.
If you wish to apply for a netherlands visa, you can download the visa application form here. Complete the online schengen visa application form, print it out and take it to your. Harmonised application form application for schengen visa this application form is free 1.
If you wish to apply for a netherlands visa, you can download the visa application form here. Harmonised application form application for schengen visa this application form is free 1. Complete the online schengen visa application form, print it out and take it to your.
Ukraine Visa Application Form Pdf 2023
If you wish to apply for a netherlands visa, you can download the visa application form here. Complete the online schengen visa application form, print it out and take it to your. Harmonised application form application for schengen visa this application form is free 1.
Sample Schengen Visa Application Form Filled PDF airSlate SignNow
Complete the online schengen visa application form, print it out and take it to your. Harmonised application form application for schengen visa this application form is free 1. If you wish to apply for a netherlands visa, you can download the visa application form here.
VISA ONLINE Dutch Immigration and Residency Regulations
Harmonised application form application for schengen visa this application form is free 1. Complete the online schengen visa application form, print it out and take it to your. If you wish to apply for a netherlands visa, you can download the visa application form here.
Netherland Visa Pan Pacific Travel
If you wish to apply for a netherlands visa, you can download the visa application form here. Complete the online schengen visa application form, print it out and take it to your. Harmonised application form application for schengen visa this application form is free 1.
How to Fillin the Schengen Visa Application Form Schengen VISA
Complete the online schengen visa application form, print it out and take it to your. Harmonised application form application for schengen visa this application form is free 1. If you wish to apply for a netherlands visa, you can download the visa application form here.
Netherlands Visa From India How to Apply for Dutch Schengen Visa
Harmonised application form application for schengen visa this application form is free 1. Complete the online schengen visa application form, print it out and take it to your. If you wish to apply for a netherlands visa, you can download the visa application form here.
Schengen Visa Application Form Netherlands 2023
Complete the online schengen visa application form, print it out and take it to your. Harmonised application form application for schengen visa this application form is free 1. If you wish to apply for a netherlands visa, you can download the visa application form here.
Application Visa Vfs Form Fill Online, Printable, Fillable, Blank
If you wish to apply for a netherlands visa, you can download the visa application form here. Harmonised application form application for schengen visa this application form is free 1. Complete the online schengen visa application form, print it out and take it to your.
Schengen Visa Application Form Netherlands Pdf 20202022 Fill and
If you wish to apply for a netherlands visa, you can download the visa application form here. Harmonised application form application for schengen visa this application form is free 1. Complete the online schengen visa application form, print it out and take it to your.
Lietas, kas jāzina pirms Šengenas vīzas pieteikuma iesniegšanas
If you wish to apply for a netherlands visa, you can download the visa application form here. Harmonised application form application for schengen visa this application form is free 1. Complete the online schengen visa application form, print it out and take it to your.
Complete The Online Schengen Visa Application Form, Print It Out And Take It To Your.
Harmonised application form application for schengen visa this application form is free 1. If you wish to apply for a netherlands visa, you can download the visa application form here.









